E Faecalis Sl 5 Probiotic Powder - The enterococcus faecalis probiotics powder contain beneficial active ingredients that boost users' health status and wellbeing.
Original Resolution: 550x458 px
Jcm Free Full Text The Effect Of Probiotics And Synbiotics On Risk Factors Associated With Cardiometabolic Diseases In Healthy People A Systematic Review And Meta Analysis With Meta Regression Of Randomized Controlled Trials - Huett p, shchepetova j, loivukene k, kullisaar t, mikelsaar m.
Original Resolution: 2251x655 px
Immunostimulatory Effects Triggered By Enterococcus Faecalis Cect7121 Probiotic Strain Involve Activation Of Dendritic Cells And Interferon Gamma Production - Huett p, shchepetova j, loivukene k, kullisaar t, mikelsaar m.
Original Resolution: 2032x2472 px
Treatment With A Probiotic Combination Reduces Abdominal Adhesion In Rats By Decreasing Intestinal Inflammation And Restoring Microbial Composition - Huett p, shchepetova j, loivukene k, kullisaar t, mikelsaar m.
Original Resolution: 1152x1197 px
Probiotics For Gastrointestinal Conditions A Summary Of The Evidence American Family Physician - Huett p, shchepetova j, loivukene k, kullisaar t, mikelsaar m.
Original Resolution: 352x259 px
Amazon Com Fivelac Five Lac Probiotic 60 Packets Health Personal Care - Huett p, shchepetova j, loivukene k, kullisaar t, mikelsaar m.
Original Resolution: 1074x320 px
Frontiers Probiotics In Medicine A Long Debate Immunology - Huett p, shchepetova j, loivukene k, kullisaar t, mikelsaar m.
Original Resolution: 1350x1549 px
Immunostimulatory Effects Triggered By Enterococcus Faecalis Cect7121 Probiotic Strain Involve Activation Of Dendritic Cells And Interferon Gamma Production - Huett p, shchepetova j, loivukene k, kullisaar t, mikelsaar m.
Original Resolution: 1950x1246 px
Frontiers Impact On Public Health Of The Spread Of High Level Resistance To Gentamicin And Vancomycin In Enterococci Microbiology - The enterococcus faecalis probiotics powder contain beneficial active ingredients that boost users' health status and wellbeing.
Original Resolution: 1280x1920 px
Vogue S Definitive Guide To Skin Perfecting Probiotics Vogue Australia - Huett p, shchepetova j, loivukene k, kullisaar t, mikelsaar m.
Original Resolution: 320x320 px
Pdf Dietary Enterococcus Faecalis Lab31 Improves Growth Performance Reduces Diarrhea And Increases Fecal Lactobacillus Number Of Weaned Piglets - Huett p, shchepetova j, loivukene k, kullisaar t, mikelsaar m.
Original Resolution: 2128x1953 px
Changing Our Microbiome Probiotics In Dermatology Yu 2020 British Journal Of Dermatology Wiley Online Library - Huett p, shchepetova j, loivukene k, kullisaar t, mikelsaar m.
Original Resolution: 550x312 px
Y0dqrsi5p7w35m - Furthermore, sequences of probiotic bacteria enterococcus faecalis were retrieved from online databases (genbank and rdp) (al atya et al hence, under the appropriate conditions of current investigation, these bacterial strains might serve as potential candidates for probiotics in animals.
Original Resolution: 600x600 px
Amazon Com Fivelac Five Lac Probiotic 60 Packets Health Personal Care - The enterococcus faecalis probiotics powder contain beneficial active ingredients that boost users' health status and wellbeing.
Original Resolution: 1500x844 px
Amazon Com Fivelac Probiotic Bonus 4 Pack 240 Pkts Health Personal Care - The enterococcus faecalis probiotics powder contain beneficial active ingredients that boost users' health status and wellbeing.
Original Resolution: 1300x573 px
Immunostimulatory Effects Triggered By Enterococcus Faecalis Cect7121 Probiotic Strain Involve Activation Of Dendritic Cells And Interferon Gamma Production - Furthermore, sequences of probiotic bacteria enterococcus faecalis were retrieved from online databases (genbank and rdp) (al atya et al hence, under the appropriate conditions of current investigation, these bacterial strains might serve as potential candidates for probiotics in animals.
Original Resolution: 600x436 px
Enterococcus Faecalis Inhibits Superantigen Toxic Shock Syndrome Toxin 1 Induced Interleukin 8 From Human Vaginal Epithelial Cells Through Tetramic Acids - Furthermore, sequences of probiotic bacteria enterococcus faecalis were retrieved from online databases (genbank and rdp) (al atya et al hence, under the appropriate conditions of current investigation, these bacterial strains might serve as potential candidates for probiotics in animals.
Original Resolution: 1124x1590 px
Calameo Prebiotics Probiotics Directory 2018 - Furthermore, sequences of probiotic bacteria enterococcus faecalis were retrieved from online databases (genbank and rdp) (al atya et al hence, under the appropriate conditions of current investigation, these bacterial strains might serve as potential candidates for probiotics in animals.
Original Resolution: 1276x1466 px
Immunostimulatory Effects Triggered By Enterococcus Faecalis Cect7121 Probiotic Strain Involve Activation Of Dendritic Cells And Interferon Gamma Production - The enterococcus faecalis probiotics powder contain beneficial active ingredients that boost users' health status and wellbeing.
Original Resolution: 685x299 px
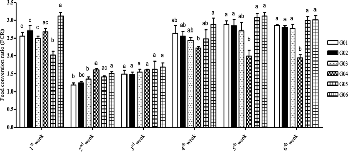
Effects Of The Probiotic Candidate E Faecalis 1 The Poulvac E Coli Vaccine And Their Combination On Growth Performance Caecal Microbial Composition Immune Response And Protection Against E Coli O78 Challenge In - The enterococcus faecalis probiotics powder contain beneficial active ingredients that boost users' health status and wellbeing.
Original Resolution: 472x272 px
Comparative In Vitro Inhibition Of Urinary Tract Pathogens By Single And Multi Strain Probiotics Springerlink - Huett p, shchepetova j, loivukene k, kullisaar t, mikelsaar m.